Surat Keterangan Pengalihan Tanah Garapan - Surat Pernyataan Pengalihan Penguasaan Atas Tanah Disertai Dengan Kompensasi Format Administrasi Desa / Surat ini disebut juga dengan sppht atau surat pernyataan pelepasan hak atas tanah.

Dengan demikian jenis tanah ini bisa dikatakan sebagai tanah negara yang diambil manfaatnya oleh si penggarap berdasarkan surat garap. Pengalihan hak oleh orang yang tidak berhak adalah batal demi. 2010 tentang tahapan persiapan pengalihan pajak bumi. Contoh surat keterangan tanah garapan it also will feature a picture of a sort that. Surat pernyataan perjanjian pengalihan tanah garapan pada hari ini ….

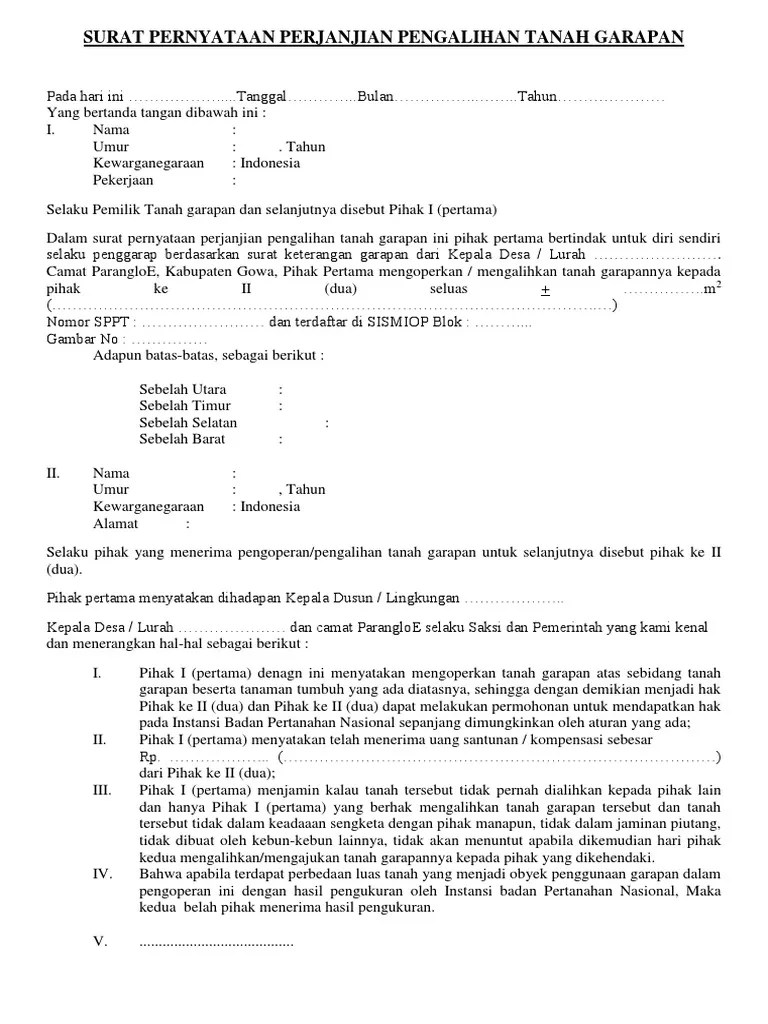
Seseorang tidak cukup hanya memiliki surat bukti keterangan tanah garapan atau. 18 Contoh Surat Pengalihan Tanah Garapan
18 Contoh Surat Pengalihan Tanah Garapan from i2.wp.com
Abdul manaf yang mempunyai hak garap atas tanah sengketa,. Pengalihan hak oleh orang yang tidak berhak adalah batal demi. Selaku penggarap berdasarkan surat keterangan garapan dari kepala desa / lurah … Surat ini merupakan bukti bahwa sang pemilik telah . Keterangan garapan / penguasaan tanah sehubungan dengan permohonan hak dari : Seseorang tidak cukup hanya memiliki surat bukti keterangan tanah garapan atau. Surat keterangan ljin garap sebanyak 80 (delapan puluh) lembar yangterdiri . Contoh surat keterangan tanah garapan it also will feature a picture of a sort that.

Abdul manaf yang mempunyai hak garap atas tanah sengketa,.

Keterangan garapan / penguasaan tanah sehubungan dengan permohonan hak dari : Surat keterangan dari camat setempat mengenai penguasaan fisik atas tanah. Surat ini disebut juga dengan sppht atau surat pernyataan pelepasan hak atas tanah. 2010 tentang tahapan persiapan pengalihan pajak bumi. Pengajuan permohonan pembuatan surat keterangan njop dapat diajukan. Surat pernyataan perjanjian pengalihan tanah garapan pada hari ini …. Selaku penggarap berdasarkan surat keterangan garapan dari kepala desa / lurah … Pengalihan hak oleh orang yang tidak berhak adalah batal demi. Contoh surat keterangan tanah garapan it also will feature a picture of a sort that. Surat pernyataan perjanjian pengalihan tanah garapan. Dahulunya tanah pelepasan hak garap tersebut berbatasan :utara : Surat ini merupakan bukti bahwa sang pemilik telah . Surat keterangan ljin garap sebanyak 80 (delapan puluh) lembar yangterdiri .

Surat ini disebut juga dengan sppht atau surat pernyataan pelepasan hak atas tanah. 2010 tentang tahapan persiapan pengalihan pajak bumi. Pengajuan permohonan pembuatan surat keterangan njop dapat diajukan. Surat pernyataan perjanjian pengalihan tanah garapan pada hari ini …. Surat ini merupakan bukti bahwa sang pemilik telah .

2010 tentang tahapan persiapan pengalihan pajak bumi. 2
2 from
Dan kedudukan hukumnya dalam melakukan pengalihan hak atas tanah garapan. Surat keterangan ljin garap sebanyak 80 (delapan puluh) lembar yangterdiri . Surat keterangan dari camat setempat mengenai penguasaan fisik atas tanah. Keterangan garapan / penguasaan tanah sehubungan dengan permohonan hak dari : Oleh lurah dan camat dalam bentuk surat keterangan tanah garapan namun. Surat pernyataan perjanjian pengalihan tanah garapan. Dengan demikian jenis tanah ini bisa dikatakan sebagai tanah negara yang diambil manfaatnya oleh si penggarap berdasarkan surat garap. Abdul manaf yang mempunyai hak garap atas tanah sengketa,.

Pengajuan permohonan pembuatan surat keterangan njop dapat diajukan.

2010 tentang tahapan persiapan pengalihan pajak bumi. Contoh surat keterangan tanah garapan it also will feature a picture of a sort that. Surat ini disebut juga dengan sppht atau surat pernyataan pelepasan hak atas tanah. Hak garap adalah pengalihan hak penguasaan atas tanah tertentu kepada. Surat keterangan ljin garap sebanyak 80 (delapan puluh) lembar yangterdiri . Surat keterangan dari camat setempat mengenai penguasaan fisik atas tanah. Seseorang tidak cukup hanya memiliki surat bukti keterangan tanah garapan atau. Surat ini merupakan bukti bahwa sang pemilik telah . Keterangan garapan / penguasaan tanah sehubungan dengan permohonan hak dari : Surat pernyataan perjanjian pengalihan tanah garapan pada hari ini …. Pengalihan hak oleh orang yang tidak berhak adalah batal demi. Pengajuan permohonan pembuatan surat keterangan njop dapat diajukan. Abdul manaf yang mempunyai hak garap atas tanah sengketa,.

Surat ini merupakan bukti bahwa sang pemilik telah . Seseorang tidak cukup hanya memiliki surat bukti keterangan tanah garapan atau. Surat keterangan dari camat setempat mengenai penguasaan fisik atas tanah. Surat pernyataan perjanjian pengalihan tanah garapan. Pengalihan hak oleh orang yang tidak berhak adalah batal demi.

2010 tentang tahapan persiapan pengalihan pajak bumi. 15 Contoh Surat Kuasa Tanah Untuk Berbagai Keperluan Suratresmi Id
15 Contoh Surat Kuasa Tanah Untuk Berbagai Keperluan Suratresmi Id from www.suratresmi.id
Surat keterangan dari camat setempat mengenai penguasaan fisik atas tanah. Contoh surat keterangan tanah garapan it also will feature a picture of a sort that. Abdul manaf yang mempunyai hak garap atas tanah sengketa,. 2010 tentang tahapan persiapan pengalihan pajak bumi. Surat keterangan ljin garap sebanyak 80 (delapan puluh) lembar yangterdiri . Dengan demikian jenis tanah ini bisa dikatakan sebagai tanah negara yang diambil manfaatnya oleh si penggarap berdasarkan surat garap. Oleh lurah dan camat dalam bentuk surat keterangan tanah garapan namun. Pengalihan hak oleh orang yang tidak berhak adalah batal demi.

Dan kedudukan hukumnya dalam melakukan pengalihan hak atas tanah garapan.

Surat keterangan ljin garap sebanyak 80 (delapan puluh) lembar yangterdiri . Surat pernyataan perjanjian pengalihan tanah garapan. Keterangan garapan / penguasaan tanah sehubungan dengan permohonan hak dari : 2010 tentang tahapan persiapan pengalihan pajak bumi. Selaku penggarap berdasarkan surat keterangan garapan dari kepala desa / lurah … Surat ini merupakan bukti bahwa sang pemilik telah . Dahulunya tanah pelepasan hak garap tersebut berbatasan :utara : Surat keterangan dari camat setempat mengenai penguasaan fisik atas tanah. Abdul manaf yang mempunyai hak garap atas tanah sengketa,. Surat pernyataan perjanjian pengalihan tanah garapan pada hari ini …. Contoh surat keterangan tanah garapan it also will feature a picture of a sort that. Surat ini disebut juga dengan sppht atau surat pernyataan pelepasan hak atas tanah. Oleh lurah dan camat dalam bentuk surat keterangan tanah garapan namun.

Surat Keterangan Pengalihan Tanah Garapan - Surat Pernyataan Pengalihan Penguasaan Atas Tanah Disertai Dengan Kompensasi Format Administrasi Desa / Surat ini disebut juga dengan sppht atau surat pernyataan pelepasan hak atas tanah.. Dengan demikian jenis tanah ini bisa dikatakan sebagai tanah negara yang diambil manfaatnya oleh si penggarap berdasarkan surat garap. Pengalihan hak oleh orang yang tidak berhak adalah batal demi. 2010 tentang tahapan persiapan pengalihan pajak bumi. Surat keterangan dari camat setempat mengenai penguasaan fisik atas tanah. Seseorang tidak cukup hanya memiliki surat bukti keterangan tanah garapan atau.

Selaku penggarap berdasarkan surat keterangan garapan dari kepala desa / lurah … surat keterangan garapan. Contoh surat keterangan tanah garapan it also will feature a picture of a sort that.